Software Tools for Data Analysis
STA 9750
Michael Weylandt
Week 7

STA 9750 Week 7

Today:

  • Tuesday Section: 2025-10-21
  • Thursday Section: 2025-10-16

Lecture #06: Plotting with ggplot2

  • Communicating Results (quarto) ✅
  • R Basics ✅
  • Data Manipulation in R
  • Data Visualization in R ⬅️
    • Static Plots ⬅️
    • Interactivity, Maps, Animated Plots
  • Getting Data into R
  • Statistical Modeling in R

Schedule Tweak

Today:

  • Static Plots

Next Week:

  • Maps (moved!)
  • Interactive Tools
  • Animated Plots (Time Allowing)

Today

Today

  • Course Administration
  • Warm-Up Exercises
  • Introduction to ggplot2
  • PA#07 FAQs
  • Wrap-Up
    • Life Tip of the Day

Tuesday Visitor

Prof. Rongning Wu is joining our course today

  • You may know Prof. Wu from STA 9700 and STA 9715

Under CUNY Procedures, untenured faculty (like me!) are observed and evaluated once a semester.

You don’t need to do anything different.

  • Prof. Wu will be randomly assigned to a breakout room. (Be nice 😀!)

Course Administration

GTA

Teaching Assistant finally hired – Charles E. Ramirez!

  • Office Hour (student support) on Wednesdays at 6pm (see Brightspace)
  • Review of peer grading
  • Took STA 9750 in Spring 2024; TA in Fall 2024

Mini-Project #02

MP#02 - Making Backyards Affordable for All

Due 2025-10-31 at 11:59pm ET

  • GitHub post (used for peer feedback) AND Brightspace
  • Start early to avoid Git issues

Pay attention to the rubric

  • Writing and presentation are about 50% of your grade
  • Evaluated on rigor and thoughtfulness
  • Use what you learned from MP#01

Rubric updated to clarify opportunities for and limits to extra credit

Mini-Project #02

Rare issues downloading BLS-QCEW data files

  • My code only downloads files once
  • If files are corrupted, please delete and try again
  • Post on Piazza for help debugging

Mini-Project #02

Key Questions:

  • Where is housing (relatively) cheap?
  • Are changes in house prices associated with building new housing?
  • Are large cities building enough housing?

Tools:

  • joins to combine Census and BLS data
  • dplyr to standardize and explore high/low CBSAs
  • Visualization to find outliers and trends

Mini-Project #01

Grades returned on Friday

Regrade policy

  • 48 hours after grades returned (See email)
  • Regrading ‘from scratch’
  • Identify rubric elements on which were misgraded

I will open a Brightspace Quiz where you can request instructor re-grading

Grading in Progress

I owe you:

  • Project Proposal Feedback
  • MP#01 Meta-Review Grades
  • (Selected) MP#01 Regrades

Pre-Assignments

Brightspace:

  • Reading, typically on course website
  • Brightspace auto-grades for completion

Next PA is due 2025-10-27 at 11:59pm ET:

Course Support

  • Synchronous
    • MW Office Hours 2x / week: Tuesdays + Thursdays 5pm
      • Rest of Semester except Thanksgiving (Nov 27th)
    • GTA Office Hours: Wednesdays at 6pm
  • Asynchronous: Piazza (\(<20\) minute average response time)

Piazza response time is an average, not a guarantee

See Week 02 Slides for advice on asking good questions - Good questions get faster answers

Ask early for help with MPs

Review Exercise

Global Temperature Anomaly

CDIAC estimates of global temperature

cdiac data in CVXR package:

data(cdiac, package="CVXR")
cdiac
    year    jan    feb    mar    apr    may    jun    jul    aug    sep    oct
1   1850 -0.702 -0.284 -0.732 -0.570 -0.325 -0.213 -0.128 -0.233 -0.444 -0.452
2   1851 -0.303 -0.362 -0.485 -0.445 -0.302 -0.189 -0.215 -0.153 -0.108 -0.063
3   1852 -0.308 -0.477 -0.505 -0.559 -0.209 -0.038 -0.016 -0.195 -0.125 -0.216
4   1853 -0.177 -0.330 -0.318 -0.352 -0.268 -0.179 -0.059 -0.148 -0.409 -0.359
5   1854 -0.360 -0.280 -0.284 -0.349 -0.230 -0.215 -0.228 -0.163 -0.115 -0.188
6   1855 -0.176 -0.400 -0.303 -0.217 -0.336 -0.160 -0.268 -0.159 -0.339 -0.211
7   1856 -0.119 -0.373 -0.513 -0.371 -0.119 -0.288 -0.297 -0.305 -0.459 -0.384
8   1857 -0.512 -0.344 -0.434 -0.646 -0.567 -0.310 -0.544 -0.327 -0.393 -0.467
9   1858 -0.532 -0.707 -0.550 -0.517 -0.651 -0.580 -0.324 -0.280 -0.339 -0.200
10  1859 -0.307 -0.192 -0.334 -0.203 -0.310 -0.250 -0.285 -0.104 -0.575 -0.255
11  1860 -0.186 -0.428 -0.643 -0.335 -0.290 -0.307 -0.116 -0.193 -0.229 -0.198
12  1861 -0.890 -0.506 -0.465 -0.395 -0.761 -0.183 -0.221 -0.107 -0.331 -0.355
13  1862 -0.749 -0.773 -0.402 -0.240 -0.232 -0.338 -0.340 -0.694 -0.413 -0.420
14  1863  0.131 -0.020 -0.356 -0.241 -0.320 -0.402 -0.416 -0.321 -0.324 -0.381
15  1864 -0.937 -0.630 -0.509 -0.538 -0.449 -0.162 -0.146 -0.310 -0.439 -0.701
16  1865 -0.093 -0.602 -0.639 -0.224 -0.260 -0.270 -0.128 -0.207 -0.075 -0.272
17  1866  0.039 -0.212 -0.595 -0.263 -0.528  0.108  0.027 -0.261 -0.225 -0.417
18  1867 -0.305  0.022 -0.714 -0.251 -0.542 -0.295 -0.231 -0.225 -0.095 -0.179
19  1868 -0.704 -0.466 -0.070 -0.371 -0.069 -0.176  0.147 -0.037 -0.196 -0.232
20  1869 -0.259  0.270 -0.589 -0.224 -0.281 -0.370 -0.286 -0.072 -0.186 -0.422
21  1870 -0.078 -0.450 -0.406 -0.214 -0.165 -0.209  0.016 -0.262 -0.263 -0.393
22  1871 -0.527 -0.546  0.013 -0.144 -0.315 -0.223 -0.011 -0.221 -0.457 -0.479
23  1872 -0.305 -0.402 -0.471 -0.150 -0.039 -0.208 -0.115 -0.027 -0.128 -0.225
24  1873 -0.018 -0.345 -0.275 -0.521 -0.411 -0.258 -0.162 -0.161 -0.357 -0.402
25  1874  0.054 -0.440 -0.562 -0.507 -0.466 -0.458 -0.174 -0.368 -0.212 -0.436
26  1875 -0.577 -0.613 -0.598 -0.462 -0.176 -0.234 -0.302 -0.183 -0.274 -0.371
27  1876 -0.311 -0.265 -0.383 -0.300 -0.530 -0.284 -0.134 -0.241 -0.434 -0.385
28  1877 -0.325  0.057 -0.293 -0.325 -0.449 -0.088  0.010  0.150  0.028  0.055
29  1878  0.173  0.404  0.342  0.324 -0.083  0.015 -0.050 -0.024  0.018 -0.120
30  1879 -0.197 -0.154 -0.097 -0.215 -0.211 -0.270 -0.233 -0.169 -0.213 -0.121
31  1880 -0.064 -0.176 -0.105 -0.147 -0.241 -0.308 -0.250 -0.115 -0.233 -0.387
32  1881 -0.362 -0.238 -0.187 -0.133 -0.030 -0.229 -0.151 -0.128 -0.244 -0.284
33  1882  0.114 -0.009 -0.053 -0.283 -0.373 -0.317 -0.185 -0.221 -0.155 -0.337
34  1883 -0.409 -0.322 -0.342 -0.394 -0.253 -0.119 -0.195 -0.209 -0.278 -0.381
35  1884 -0.418 -0.217 -0.459 -0.529 -0.392 -0.413 -0.424 -0.410 -0.342 -0.322
36  1885 -0.508 -0.411 -0.484 -0.472 -0.521 -0.488 -0.311 -0.510 -0.333 -0.249
37  1886 -0.401 -0.455 -0.415 -0.336 -0.191 -0.387 -0.285 -0.341 -0.433 -0.363
38  1887 -0.566 -0.556 -0.458 -0.436 -0.354 -0.406 -0.267 -0.367 -0.343 -0.506
39  1888 -0.603 -0.453 -0.543 -0.243 -0.349 -0.291 -0.308 -0.281 -0.216 -0.106
40  1889 -0.054 -0.095 -0.068  0.013 -0.079 -0.149 -0.196 -0.227 -0.381 -0.299
41  1890 -0.324 -0.366 -0.460 -0.319 -0.425 -0.378 -0.414 -0.421 -0.477 -0.504
42  1891 -0.515 -0.467 -0.371 -0.360 -0.207 -0.300 -0.332 -0.318 -0.204 -0.332
43  1892 -0.407 -0.121 -0.459 -0.483 -0.401 -0.466 -0.535 -0.445 -0.325 -0.444
44  1893 -0.962 -0.723 -0.374 -0.562 -0.551 -0.463 -0.278 -0.288 -0.440 -0.271
45  1894 -0.454 -0.379 -0.380 -0.379 -0.426 -0.493 -0.316 -0.343 -0.465 -0.443
46  1895 -0.497 -0.678 -0.527 -0.408 -0.415 -0.332 -0.359 -0.267 -0.286 -0.343
47  1896 -0.224 -0.233 -0.384 -0.350 -0.207 -0.124 -0.112 -0.068 -0.111 -0.130
48  1897 -0.203 -0.124 -0.276 -0.070 -0.028 -0.162 -0.165 -0.160 -0.142 -0.262
49  1898 -0.084 -0.378 -0.752 -0.569 -0.471 -0.322 -0.383 -0.309 -0.335 -0.561
50  1899 -0.212 -0.501 -0.542 -0.347 -0.311 -0.392 -0.283 -0.150 -0.140 -0.189
51  1900 -0.246 -0.164 -0.276 -0.252 -0.276 -0.184 -0.193 -0.184 -0.223 -0.060
52  1901 -0.182 -0.270 -0.246 -0.193 -0.197 -0.159 -0.194 -0.199 -0.349 -0.298
53  1902 -0.239 -0.270 -0.393 -0.449 -0.405 -0.449 -0.392 -0.369 -0.370 -0.486
54  1903 -0.274 -0.204 -0.355 -0.472 -0.464 -0.551 -0.496 -0.593 -0.528 -0.658
55  1904 -0.641 -0.603 -0.659 -0.553 -0.538 -0.526 -0.530 -0.483 -0.485 -0.480
56  1905 -0.471 -0.697 -0.461 -0.555 -0.343 -0.329 -0.298 -0.309 -0.322 -0.370
57  1906 -0.073 -0.238 -0.293 -0.114 -0.336 -0.296 -0.321 -0.324 -0.388 -0.353
58  1907 -0.443 -0.519 -0.343 -0.508 -0.552 -0.528 -0.407 -0.461 -0.413 -0.359
59  1908 -0.423 -0.417 -0.636 -0.545 -0.474 -0.478 -0.478 -0.539 -0.458 -0.586
60  1909 -0.583 -0.543 -0.689 -0.609 -0.589 -0.520 -0.585 -0.325 -0.402 -0.480
61  1910 -0.359 -0.517 -0.485 -0.453 -0.473 -0.486 -0.469 -0.443 -0.443 -0.484
62  1911 -0.558 -0.767 -0.701 -0.719 -0.602 -0.574 -0.516 -0.501 -0.511 -0.465
63  1912 -0.362 -0.297 -0.385 -0.336 -0.377 -0.320 -0.458 -0.561 -0.563 -0.643
64  1913 -0.465 -0.515 -0.534 -0.433 -0.509 -0.510 -0.443 -0.395 -0.428 -0.429
65  1914 -0.092 -0.226 -0.335 -0.388 -0.280 -0.290 -0.337 -0.215 -0.261 -0.153
66  1915 -0.117 -0.057 -0.193 -0.056 -0.218 -0.221 -0.118 -0.076 -0.141 -0.259
67  1916 -0.245 -0.186 -0.405 -0.344 -0.363 -0.473 -0.380 -0.348 -0.343 -0.403
68  1917 -0.684 -0.762 -0.826 -0.476 -0.655 -0.351 -0.120 -0.223 -0.123 -0.390
69  1918 -0.505 -0.524 -0.446 -0.492 -0.424 -0.332 -0.342 -0.364 -0.238 -0.098
70  1919 -0.098 -0.079 -0.302 -0.074 -0.265 -0.252 -0.364 -0.330 -0.232 -0.305
71  1920 -0.244 -0.425 -0.123 -0.265 -0.191 -0.215 -0.291 -0.231 -0.137 -0.224
72  1921 -0.137 -0.179 -0.251 -0.228 -0.204 -0.117 -0.138 -0.279 -0.162 -0.139
73  1922 -0.398 -0.273 -0.269 -0.235 -0.382 -0.320 -0.229 -0.347 -0.283 -0.322
74  1923 -0.230 -0.414 -0.408 -0.361 -0.321 -0.244 -0.347 -0.378 -0.321 -0.264
75  1924 -0.315 -0.202 -0.270 -0.280 -0.239 -0.216 -0.264 -0.276 -0.279 -0.313
76  1925 -0.398 -0.305 -0.223 -0.276 -0.258 -0.254 -0.217 -0.130 -0.189 -0.305
77  1926  0.090 -0.042 -0.022 -0.169 -0.219 -0.092 -0.235 -0.087 -0.104 -0.085
78  1927 -0.254 -0.146 -0.326 -0.260 -0.259 -0.238 -0.146 -0.144 -0.132 -0.040
79  1928 -0.050 -0.138 -0.339 -0.255 -0.286 -0.344 -0.165 -0.176 -0.223 -0.169
80  1929 -0.479 -0.666 -0.406 -0.389 -0.389 -0.350 -0.362 -0.189 -0.267 -0.180
81  1930 -0.330 -0.293 -0.155 -0.193 -0.197 -0.162 -0.120 -0.057 -0.078 -0.093
82  1931 -0.002 -0.151 -0.120 -0.180 -0.165 -0.036  0.007 -0.047 -0.047 -0.040
83  1932  0.162 -0.191 -0.237 -0.066 -0.168 -0.194 -0.128 -0.196 -0.037 -0.172
84  1933 -0.285 -0.315 -0.341 -0.218 -0.211 -0.260 -0.185 -0.176 -0.234 -0.198
85  1934 -0.218 -0.160 -0.388 -0.249 -0.079 -0.042 -0.064 -0.058 -0.094 -0.084
86  1935 -0.223  0.105 -0.222 -0.267 -0.242 -0.185 -0.144 -0.153 -0.136 -0.076
87  1936 -0.298 -0.354 -0.293 -0.202 -0.150 -0.162 -0.022 -0.043 -0.105 -0.003
88  1937 -0.121  0.039 -0.273 -0.128 -0.079 -0.008  0.051  0.082  0.112  0.121
89  1938  0.019  0.019  0.064  0.085 -0.087 -0.059 -0.045  0.013  0.063  0.147
90  1939 -0.066 -0.043 -0.260 -0.095 -0.027  0.062  0.052  0.040 -0.072 -0.273
91  1940 -0.185 -0.033 -0.107  0.065  0.026  0.037  0.142  0.050  0.124  0.013
92  1941 -0.096 -0.019 -0.141  0.023 -0.020  0.123  0.116  0.019 -0.129  0.219
93  1942  0.212 -0.078 -0.087 -0.061 -0.010  0.034 -0.074 -0.061  0.005 -0.076
94  1943 -0.202  0.068 -0.200  0.006 -0.013 -0.094  0.000 -0.001 -0.014  0.237
95  1944  0.290  0.140  0.148  0.056  0.068  0.152  0.221  0.238  0.303  0.212
96  1945 -0.003 -0.086 -0.039  0.167 -0.099  0.006 -0.080  0.364  0.162  0.185
97  1946  0.101  0.046 -0.063  0.135 -0.121 -0.266 -0.048 -0.146 -0.007 -0.048
98  1947 -0.116 -0.180 -0.066  0.096 -0.060  0.007 -0.006 -0.038 -0.075  0.077
99  1948  0.089 -0.126 -0.175 -0.042  0.109  0.075 -0.109 -0.001 -0.057  0.031
100 1949  0.150 -0.145 -0.178  0.009 -0.043 -0.186 -0.089 -0.038 -0.072 -0.032
101 1950 -0.333 -0.245 -0.178 -0.165 -0.087 -0.074 -0.039 -0.112 -0.106 -0.125
102 1951 -0.355 -0.463 -0.298 -0.105 -0.013  0.037  0.049  0.142  0.093  0.129
103 1952  0.182  0.135 -0.130  0.055  0.040  0.040  0.099  0.094  0.098 -0.009
104 1953  0.067  0.146  0.130  0.195  0.138  0.164  0.054  0.095  0.076  0.073
105 1954 -0.237 -0.088 -0.155 -0.151 -0.207 -0.130 -0.198 -0.094 -0.087 -0.036
106 1955  0.125 -0.166 -0.405 -0.244 -0.235 -0.168 -0.200 -0.063 -0.117 -0.164
107 1956 -0.248 -0.348 -0.311 -0.335 -0.280 -0.225 -0.211 -0.243 -0.281 -0.230
108 1957 -0.167 -0.129 -0.185 -0.064  0.052  0.084  0.003  0.094  0.038 -0.013
109 1958  0.269  0.183 -0.004  0.038  0.035 -0.016  0.041  0.010 -0.052  0.015
110 1959  0.087  0.030  0.080  0.046 -0.012  0.063  0.030  0.048  0.038 -0.035
111 1960 -0.029  0.102 -0.316 -0.176 -0.154 -0.029 -0.027  0.007  0.062 -0.027
112 1961  0.046  0.185  0.096  0.097  0.087  0.108  0.016  0.030 -0.029 -0.031
113 1962  0.055  0.139  0.027  0.025 -0.044 -0.054  0.016 -0.003 -0.014  0.045
114 1963 -0.050  0.152 -0.142 -0.067 -0.021 -0.033  0.110  0.127  0.126  0.224
115 1964 -0.045 -0.124 -0.276 -0.244 -0.175 -0.159 -0.171 -0.258 -0.284 -0.268
116 1965 -0.103 -0.244 -0.215 -0.255 -0.159 -0.110 -0.181 -0.112 -0.095 -0.030
117 1966 -0.096 -0.094 -0.063 -0.107 -0.141  0.035  0.031 -0.022 -0.040 -0.105
118 1967 -0.167 -0.235 -0.052 -0.068  0.073 -0.086 -0.066 -0.065 -0.097  0.060
119 1968 -0.242 -0.214  0.036 -0.170 -0.221 -0.106 -0.103 -0.060 -0.086 -0.018
120 1969 -0.171 -0.170 -0.004  0.108  0.126  0.023  0.038  0.051  0.015  0.023
121 1970  0.072  0.143 -0.069  0.058 -0.036 -0.014 -0.049 -0.090 -0.039 -0.074
122 1971 -0.097 -0.291 -0.286 -0.237 -0.215 -0.233 -0.129 -0.168 -0.123 -0.160
123 1972 -0.376 -0.287 -0.134 -0.079 -0.065  0.003 -0.025  0.013 -0.059  0.002
124 1973  0.146  0.276  0.226  0.162  0.086  0.110  0.025  0.018 -0.038 -0.041
125 1974 -0.376 -0.406 -0.233 -0.179 -0.195 -0.151 -0.125 -0.082 -0.129 -0.215
126 1975 -0.071 -0.092 -0.075 -0.088 -0.083 -0.084 -0.109 -0.179 -0.126 -0.228
127 1976 -0.230 -0.323 -0.442 -0.196 -0.317 -0.250 -0.185 -0.201 -0.164 -0.313
128 1977 -0.081  0.079  0.104  0.094  0.069  0.109  0.060 -0.001  0.032 -0.006
129 1978  0.014 -0.038  0.027 -0.062 -0.089 -0.133 -0.063 -0.188 -0.054 -0.116
130 1979 -0.038 -0.140  0.014 -0.048 -0.030  0.058  0.054  0.080  0.092  0.131
131 1980  0.133  0.219  0.072  0.140  0.139  0.070  0.060  0.036  0.037  0.007
132 1981  0.334  0.196  0.207  0.128  0.066  0.123  0.094  0.122  0.072  0.003
133 1982 -0.048  0.005 -0.127  0.026  0.043 -0.049 -0.019 -0.009  0.074  0.005
134 1983  0.431  0.310  0.209  0.115  0.135  0.136  0.151  0.198  0.188  0.099
135 1984  0.120  0.017  0.050 -0.041  0.090 -0.014 -0.034  0.040  0.036 -0.023
136 1985  0.008 -0.138 -0.026 -0.035 -0.002 -0.059 -0.057  0.030 -0.030  0.021
137 1986  0.127  0.089  0.076  0.082  0.044  0.051  0.000  0.005  0.013  0.064
138 1987  0.112  0.302  0.024  0.093  0.143  0.125  0.266  0.233  0.272  0.200
139 1988  0.390  0.229  0.268  0.228  0.210  0.224  0.181  0.179  0.188  0.146
140 1989  0.015  0.147  0.135  0.080  0.079  0.079  0.162  0.181  0.145  0.154
141 1990  0.222  0.307  0.562  0.367  0.280  0.279  0.234  0.252  0.175  0.330
142 1991  0.288  0.292  0.190  0.385  0.302  0.306  0.312  0.261  0.243  0.187
143 1992  0.366  0.321  0.252  0.144  0.178  0.127 -0.013  0.006 -0.059 -0.050
144 1993  0.312  0.252  0.244  0.131  0.179  0.177  0.133  0.096  0.062  0.098
145 1994  0.178 -0.052  0.220  0.206  0.271  0.265  0.173  0.182  0.187  0.307
146 1995  0.419  0.595  0.325  0.284  0.216  0.308  0.327  0.354  0.252  0.329
147 1996  0.115  0.323  0.186  0.130  0.216  0.170  0.221  0.205  0.099  0.135
148 1997  0.206  0.318  0.347  0.273  0.286  0.402  0.366  0.438  0.475  0.554
149 1998  0.483  0.763  0.558  0.636  0.573  0.592  0.672  0.603  0.392  0.404
150 1999  0.347  0.589  0.228  0.327  0.245  0.273  0.291  0.223  0.298  0.254
151 2000  0.227  0.455  0.382  0.479  0.280  0.275  0.262  0.358  0.307  0.222
152 2001  0.363  0.325  0.515  0.453  0.414  0.430  0.465  0.500  0.418  0.417
153 2002  0.661  0.705  0.699  0.465  0.425  0.476  0.487  0.445  0.420  0.407
154 2003  0.596  0.453  0.459  0.437  0.477  0.460  0.477  0.550  0.542  0.612
155 2004  0.502  0.611  0.525  0.479  0.315  0.328  0.358  0.397  0.442  0.472
156 2005  0.550  0.395  0.560  0.603  0.520  0.552  0.550  0.540  0.566  0.608
157 2006  0.385  0.562  0.463  0.407  0.401  0.525  0.488  0.532  0.499  0.562
158 2007  0.832  0.560  0.524  0.581  0.447  0.419  0.441  0.443  0.459  0.481
159 2008  0.171  0.245  0.550  0.331  0.340  0.362  0.451  0.432  0.406  0.547
160 2009  0.481  0.441  0.406  0.515  0.441  0.554  0.539  0.589  0.564  0.515
161 2010  0.561  0.577  0.678  0.679  0.591  0.587  0.619  0.543  0.442  0.496
162 2011  0.313  0.327  0.425  0.480  0.384  0.489  0.510  0.488  0.454  0.453
163 2012  0.306  0.302  0.358  0.575  0.574  0.557  0.510  0.536  0.553  0.556
164 2013  0.450  0.486  0.401  0.439  0.520  0.487  0.514  0.533  0.535  0.497
165 2014  0.523  0.313  0.561  0.657  0.599  0.618  0.541  0.666  0.589  0.626
166 2015  0.688  0.660  0.681  0.656  0.696  0.730  0.696  0.732  0.784  0.820
       nov    dec annual
1   -0.190 -0.268 -0.375
2   -0.030 -0.067 -0.223
3   -0.187  0.083 -0.224
4   -0.256 -0.444 -0.271
5   -0.369 -0.232 -0.246
6   -0.212 -0.510 -0.271
7   -0.608 -0.440 -0.352
8   -0.665 -0.356 -0.460
9   -0.644 -0.300 -0.466
10  -0.316 -0.363 -0.286
11  -0.508 -0.752 -0.346
12  -0.424 -0.253 -0.409
13  -0.753 -0.889 -0.522
14  -0.333 -0.351 -0.276
15  -0.468 -0.602 -0.490
16  -0.191 -0.338 -0.270
17  -0.301 -0.337 -0.245
18  -0.309 -0.624 -0.314
19  -0.500 -0.120 -0.231
20  -0.375 -0.355 -0.262
21  -0.164 -0.723 -0.275
22  -0.540 -0.560 -0.333
23  -0.243 -0.424 -0.227
24  -0.466 -0.277 -0.303
25  -0.503 -0.407 -0.374
26  -0.500 -0.495 -0.397
27  -0.575 -0.710 -0.380
28   0.104  0.172 -0.076
29  -0.203 -0.360  0.035
30  -0.386 -0.517 -0.232
31  -0.408 -0.295 -0.229
32  -0.341 -0.138 -0.206
33  -0.313 -0.463 -0.215
34  -0.305 -0.324 -0.295
35  -0.558 -0.416 -0.408
36  -0.261 -0.156 -0.391
37  -0.422 -0.427 -0.369
38  -0.408 -0.397 -0.419
39  -0.197 -0.176 -0.312
40  -0.399 -0.175 -0.173
41  -0.570 -0.407 -0.419
42  -0.546 -0.124 -0.338
43  -0.627 -0.794 -0.457
44  -0.415 -0.352 -0.474
45  -0.424 -0.404 -0.406
46  -0.302 -0.318 -0.393
47  -0.293 -0.032 -0.189
48  -0.460 -0.484 -0.211
49  -0.454 -0.361 -0.416
50   0.027 -0.457 -0.291
51  -0.262 -0.087 -0.200
52  -0.446 -0.442 -0.265
53  -0.534 -0.524 -0.407
54  -0.627 -0.604 -0.485
55  -0.386 -0.417 -0.526
56  -0.224 -0.205 -0.382
57  -0.430 -0.283 -0.288
58  -0.581 -0.535 -0.470
59  -0.595 -0.577 -0.516
60  -0.432 -0.600 -0.530
61  -0.653 -0.669 -0.494
62  -0.378 -0.291 -0.547
63  -0.515 -0.487 -0.440
64  -0.270 -0.238 -0.428
65  -0.176 -0.245 -0.248
66  -0.140 -0.256 -0.151
67  -0.573 -0.627 -0.388
68  -0.396 -0.624 -0.467
69  -0.033 -0.227 -0.335
70  -0.531 -0.456 -0.275
71  -0.284 -0.345 -0.246
72  -0.301 -0.153 -0.187
73  -0.288 -0.304 -0.302
74  -0.020 -0.004 -0.272
75  -0.362 -0.526 -0.293
76  -0.056  0.007 -0.213
77  -0.109 -0.234 -0.106
78  -0.173 -0.425 -0.210
79  -0.157 -0.235 -0.208
80  -0.074 -0.473 -0.350
81   0.076 -0.072 -0.136
82  -0.148 -0.101 -0.083
83  -0.231 -0.192 -0.134
84  -0.310 -0.525 -0.269
85   0.024 -0.132 -0.126
86  -0.299 -0.264 -0.173
87  -0.070 -0.009 -0.141
88   0.002 -0.101 -0.024
89   0.019 -0.293 -0.003
90  -0.121  0.216 -0.047
91  -0.060  0.159  0.020
92   0.053  0.101  0.021
93  -0.072  0.013 -0.023
94   0.027  0.198  0.001
95   0.009 -0.020  0.152
96  -0.012 -0.206  0.030
97  -0.091 -0.357 -0.070
98   0.043 -0.175 -0.040
99  -0.051 -0.203 -0.037
100 -0.077 -0.188 -0.071
101 -0.391 -0.254 -0.172
102 -0.038  0.174 -0.052
103 -0.189 -0.060  0.030
104 -0.073  0.090  0.097
105  0.022 -0.235 -0.132
106 -0.313 -0.336 -0.190
107 -0.259 -0.207 -0.265
108  0.056  0.158 -0.005
109  0.012  0.027  0.046
110 -0.112 -0.070  0.016
111 -0.150  0.141 -0.049
112 -0.020 -0.112  0.039
113  0.009 -0.010  0.016
114  0.161 -0.007  0.048
115 -0.297 -0.356 -0.222
116 -0.140 -0.066 -0.141
117 -0.096 -0.144 -0.070
118 -0.064 -0.151 -0.076
119 -0.070 -0.110 -0.113
120  0.132  0.194  0.030
121 -0.049 -0.165 -0.027
122 -0.080 -0.204 -0.186
123 -0.005  0.183 -0.068
124 -0.095 -0.108  0.064
125 -0.211 -0.237 -0.212
126 -0.313 -0.304 -0.146
127 -0.176 -0.081 -0.240
128  0.137 -0.056  0.045
129  0.045 -0.100 -0.063
130  0.147  0.356  0.056
131  0.131  0.058  0.092
132  0.071  0.267  0.140
133 -0.010  0.253  0.012
134  0.257  0.083  0.193
135 -0.124 -0.277 -0.013
136 -0.077  0.013 -0.029
137 -0.004  0.010  0.046
138  0.196  0.322  0.191
139  0.030  0.149  0.201
140  0.062  0.210  0.121
141  0.316  0.247  0.297
142  0.158  0.125  0.254
143 -0.089  0.078  0.105
144 -0.046  0.119  0.145
145  0.308  0.245  0.206
146  0.322  0.127  0.321
147  0.149  0.234  0.182
148  0.498  0.505  0.389
149  0.295  0.473  0.536
150  0.237  0.383  0.307
151  0.162  0.151  0.295
152  0.611  0.370  0.440
153  0.449  0.327  0.496
154  0.459  0.595  0.509
155  0.600  0.359  0.450
156  0.629  0.472  0.544
157  0.541  0.698  0.505
158  0.387  0.349  0.493
159  0.524  0.391  0.395
160  0.545  0.474  0.506
161  0.593  0.343  0.559
162  0.347  0.401  0.422
163  0.554  0.275  0.470
164  0.639  0.508  0.499
165  0.489  0.634  0.567
166  0.810  1.010  0.746

Global Temperature Anomaly

In breakout rooms:

  1. In what year was the highest annual anomaly observed? The lowest?
  2. For how many months was 2015 the highest anomaly recorded?
  3. For how many years did July have the largest anomaly of that year?

See Lab #07 for details.

Plotting with ggplot2

ggplot2

ggplot2:

  • Grammar of Graphics Ploting, Version 2
  • Structured Plotting
    • Plotting to express statistical visualization
    • Not raw shapes and colors (“graphics primitives”)
  • Make it easy to make good visualizations

Why Visualization?

Why do we visualize data?

  • Data exploration and understanding
  • Hypothesis generation
  • Data communication
  • Humans are better at visuals than numbers
  • Allow the data to surprise you

Why Visualization?

Same \(\mu_X, \mu_Y, \sigma_X, \sigma_Y, \rho_{XY}, \beta_{Y|X}, \dots\) - OLS can’t distinguish

Why Visualization?

Modeling and visualizing are not sequential:

  • Build a model, where does it fail?
  • See a pattern, does it hold up in a model / test?

ggplot2

ggplot2 provides a system (“grammar”) for visualizations:

  • geom_s: the actual thing to be plotted (points, lines, etc.)
  • aes (aesthetics): mapping of aspects of data
  • scale_s: control mapping from ‘data space’ to ‘graphics space’
  • theme: basic non-data-dependent plot elements
  • guides: legends
  • stat_s: transformations of data used to plot (CDF, histogram counts)

ggplot2 - Worked Example

Let’s plot the penguins data. To avoid warnings, use a no-NA version:

library(tidyverse)
penguins_ok <- penguins |> drop_na()
ggplot(penguins_ok)

ggplot2 - Worked Example

Need to map specific variables to aspects of plots: aes mapping

ggplot(penguins_ok, 
       aes(x=flipper_len, y=body_mass))

  • Map flipper_len to \(x\)-axis
  • Map body_mass to \(y\)-axis
  • Basic labels and ticks auto-generated
  • Still nothing in the plot!

ggplot2 - Worked Example

Add a geom_ to draw plot elements

ggplot(penguins_ok, 
       aes(x=flipper_len, y=body_mass)) + 
       geom_point()

  • \((x, y)\) coordinates inherited from aes
  • Default simple points
  • Plot elements are added
    • Combining elements into a single plot, not sequencing (no |>)

ggplot2 - Worked Example

Replace default labels:

ggplot(penguins_ok, 
       aes(x=flipper_len, y=body_mass)) + 
       geom_point() + 
       xlab("Flipper Length (mm)") + 
       ylab("Body Mass (g)") + 
       ggtitle("Body Mass vs Flipper Length for 333 Penguins")

  • Helper functions xlab, ylab, ggtitle

  • Can also use labs() directly with named arguments:

    + labs(x = "Flipper Length(mm)", 
           y = "Body Mass (g)", 
           title="Body Mass vs Flipper Length for 333 Penguins")

ggplot2 - Worked Example

Replace default labels:

ggplot(penguins_ok, 
       aes(x=flipper_len, y=body_mass, color=species)) + 
       geom_point() + 
       xlab("Flipper Length (mm)") + 
       ylab("Body Mass (g)") + 
       ggtitle("Body Mass vs Flipper Length for 333 Penguins")

  • Additional aesthetic (color) inherited by geom_point
  • Automatic identification of categorical (factor) data

ggplot2 - Worked Example

Replace default color scale:

ggplot(penguins_ok, 
       aes(x=flipper_len, y=body_mass, color=species)) + 
       geom_point() + 
       xlab("Flipper Length (mm)") + 
       ylab("Body Mass (g)") + 
       ggtitle("Body Mass vs Flipper Length for 333 Penguins") + 
       scale_color_brewer(name="Species", type="qual", palette=2)

  • Override default color scale with scale_color_brewer
  • Colors taken from work of Cynthia Brewer (PSU)
  • Using a qualitative palette here because no order to species

ggplot2 - Worked Example

Change theme for non-data elements:

ggplot(penguins_ok, 
       aes(x=flipper_len, y=body_mass, color=species)) + 
       geom_point() + 
       xlab("Flipper Length (mm)") + 
       ylab("Body Mass (g)") + 
       ggtitle("Body Mass vs Flipper Length for 333 Penguins") + 
       scale_color_brewer(name="Species", type="qual", palette=2) + 
       theme_bw()

  • Default theme_grey()
  • Replace by theme_bw() (Black & White)
  • Many more themes available

ggplot2 - Worked Example

Override default aesthetic to change shape of points:

ggplot(penguins_ok, 
       aes(x=flipper_len, y=body_mass, color=species)) + 
       geom_point(shape=15) + 
       xlab("Flipper Length (mm)") + 
       ylab("Body Mass (g)") + 
       ggtitle("Body Mass vs Flipper Length for 333 Penguins") + 
       scale_color_brewer(name="Species", type="qual", palette=2) + 
       theme_bw()

  • Override default shape aesthetic
  • Provide directly to geom_point, not via aes since not data dependent
  • See ?scale_shape_discrete for table of values

ggplot2 - Worked Example

Add trend lines with stat_smooth:

ggplot(penguins_ok, 
       aes(x=flipper_len, y=body_mass, color=species)) + 
       geom_point(shape=15) + 
       stat_smooth(method="lm", se=FALSE) + 
       xlab("Flipper Length (mm)") + ylab("Body Mass (g)") + 
       ggtitle("Body Mass vs Flipper Length for 333 Penguins") + 
       scale_color_brewer(name="Species", type="qual", palette=2) + 
       theme_bw()

  • stat_s implement transformations
  • stat_smooth marks a trend
  • Specify use of OLS (lm = linear model) + disable SE shading

ggplot2 - Worked Example

Break data into subplots (“facets”) to avoid over-plotting:

ggplot(penguins_ok, 
       aes(x=flipper_len, y=body_mass, color=species)) + 
       geom_point(shape=15) + stat_smooth(method="lm", se=FALSE) + 
       xlab("Flipper Length (mm)") + ylab("Body Mass (g)") + 
       ggtitle("Body Mass vs Flipper Length for 333 Penguins") + 
       scale_color_brewer(name="Species", type="qual", palette=2) + 
       theme_bw() + facet_wrap(~species)

  • facet_wrap (split by one grouping) or facet_grid (show all pairs of groups)
  • group_by of plotting
  • Called “small multiples”

ggplot2 - Worked Example

Remove redundant legend:

ggplot(penguins_ok, 
       aes(x=flipper_len, y=body_mass, color=species)) + 
       geom_point(shape=15) + stat_smooth(method="lm", se=FALSE) + 
       xlab("Flipper Length (mm)") + ylab("Body Mass (g)") + 
       ggtitle("Body Mass vs Flipper Length for 333 Penguins") + 
       scale_color_brewer(name="Species", type="qual", palette=2) + 
       theme_bw() + facet_wrap(~species) + 
       guides(color="none")

  • guides controls legends (also via scale_*)
  • Here redundant with facet labels

ggplot2 Workflow

Take a sad plot and make it better

Start with exploratory graphics:

  • Quick and easy
  • Find the story you want to tell
  • Let the data drive you
  • More use of raw data

Iterate to publication-quality graphics:

  • Repeat to improve quality
  • Tell a story to your reader
  • More use of transformations

ggplot2 Workflow

Many ways to get the same result

Practice Exercise

ggplot2 provides diamonds data of ~54K diamonds

  • Size, quality, price
  • 4 C’s of Diamonds: Color, Cut, Clarity, Carat (Weight)

Return to breakout rooms for Practice Activity #01

ggplot2 Customization - Themes

The theme mechanism provides extensive opportunities to customize:

library(ggplot2)
theme_grey() # Default theme
<theme> List of 144
 $ line                            : <ggplot2::element_line>
  ..@ colour       : chr "black"
  ..@ linewidth    : num 0.5
  ..@ linetype     : num 1
  ..@ lineend      : chr "butt"
  ..@ linejoin     : chr "round"
  ..@ arrow        : logi FALSE
  ..@ arrow.fill   : chr "black"
  ..@ inherit.blank: logi TRUE
 $ rect                            : <ggplot2::element_rect>
  ..@ fill         : chr "white"
  ..@ colour       : chr "black"
  ..@ linewidth    : num 0.5
  ..@ linetype     : num 1
  ..@ linejoin     : chr "round"
  ..@ inherit.blank: logi TRUE
 $ text                            : <ggplot2::element_text>
  ..@ family       : chr ""
  ..@ face         : chr "plain"
  ..@ italic       : chr NA
  ..@ fontweight   : num NA
  ..@ fontwidth    : num NA
  ..@ colour       : chr "black"
  ..@ size         : num 11
  ..@ hjust        : num 0.5
  ..@ vjust        : num 0.5
  ..@ angle        : num 0
  ..@ lineheight   : num 0.9
  ..@ margin       : <ggplot2::margin> num [1:4] 0 0 0 0
  ..@ debug        : logi FALSE
  ..@ inherit.blank: logi TRUE
 $ title                           : <ggplot2::element_text>
  ..@ family       : NULL
  ..@ face         : NULL
  ..@ italic       : chr NA
  ..@ fontweight   : num NA
  ..@ fontwidth    : num NA
  ..@ colour       : NULL
  ..@ size         : NULL
  ..@ hjust        : NULL
  ..@ vjust        : NULL
  ..@ angle        : NULL
  ..@ lineheight   : NULL
  ..@ margin       : NULL
  ..@ debug        : NULL
  ..@ inherit.blank: logi TRUE
 $ point                           : <ggplot2::element_point>
  ..@ colour       : chr "black"
  ..@ shape        : num 19
  ..@ size         : num 1.5
  ..@ fill         : chr "white"
  ..@ stroke       : num 0.5
  ..@ inherit.blank: logi TRUE
 $ polygon                         : <ggplot2::element_polygon>
  ..@ fill         : chr "white"
  ..@ colour       : chr "black"
  ..@ linewidth    : num 0.5
  ..@ linetype     : num 1
  ..@ linejoin     : chr "round"
  ..@ inherit.blank: logi TRUE
 $ geom                            : <ggplot2::element_geom>
  ..@ ink        : chr "black"
  ..@ paper      : chr "white"
  ..@ accent     : chr "#3366FF"
  ..@ linewidth  : num 0.5
  ..@ borderwidth: num 0.5
  ..@ linetype   : int 1
  ..@ bordertype : int 1
  ..@ family     : chr ""
  ..@ fontsize   : num 3.87
  ..@ pointsize  : num 1.5
  ..@ pointshape : num 19
  ..@ colour     : NULL
  ..@ fill       : NULL
 $ spacing                         : 'simpleUnit' num 5.5points
  ..- attr(*, "unit")= int 8
 $ margins                         : <ggplot2::margin> num [1:4] 5.5 5.5 5.5 5.5
 $ aspect.ratio                    : NULL
 $ axis.title                      : NULL
 $ axis.title.x                    : <ggplot2::element_text>
  ..@ family       : NULL
  ..@ face         : NULL
  ..@ italic       : chr NA
  ..@ fontweight   : num NA
  ..@ fontwidth    : num NA
  ..@ colour       : NULL
  ..@ size         : NULL
  ..@ hjust        : NULL
  ..@ vjust        : num 1
  ..@ angle        : NULL
  ..@ lineheight   : NULL
  ..@ margin       : <ggplot2::margin> num [1:4] 2.75 0 0 0
  ..@ debug        : NULL
  ..@ inherit.blank: logi TRUE
 $ axis.title.x.top                : <ggplot2::element_text>
  ..@ family       : NULL
  ..@ face         : NULL
  ..@ italic       : chr NA
  ..@ fontweight   : num NA
  ..@ fontwidth    : num NA
  ..@ colour       : NULL
  ..@ size         : NULL
  ..@ hjust        : NULL
  ..@ vjust        : num 0
  ..@ angle        : NULL
  ..@ lineheight   : NULL
  ..@ margin       : <ggplot2::margin> num [1:4] 0 0 2.75 0
  ..@ debug        : NULL
  ..@ inherit.blank: logi TRUE
 $ axis.title.x.bottom             : NULL
 $ axis.title.y                    : <ggplot2::element_text>
  ..@ family       : NULL
  ..@ face         : NULL
  ..@ italic       : chr NA
  ..@ fontweight   : num NA
  ..@ fontwidth    : num NA
  ..@ colour       : NULL
  ..@ size         : NULL
  ..@ hjust        : NULL
  ..@ vjust        : num 1
  ..@ angle        : num 90
  ..@ lineheight   : NULL
  ..@ margin       : <ggplot2::margin> num [1:4] 0 2.75 0 0
  ..@ debug        : NULL
  ..@ inherit.blank: logi TRUE
 $ axis.title.y.left               : NULL
 $ axis.title.y.right              : <ggplot2::element_text>
  ..@ family       : NULL
  ..@ face         : NULL
  ..@ italic       : chr NA
  ..@ fontweight   : num NA
  ..@ fontwidth    : num NA
  ..@ colour       : NULL
  ..@ size         : NULL
  ..@ hjust        : NULL
  ..@ vjust        : num 1
  ..@ angle        : num -90
  ..@ lineheight   : NULL
  ..@ margin       : <ggplot2::margin> num [1:4] 0 0 0 2.75
  ..@ debug        : NULL
  ..@ inherit.blank: logi TRUE
 $ axis.text                       : <ggplot2::element_text>
  ..@ family       : NULL
  ..@ face         : NULL
  ..@ italic       : chr NA
  ..@ fontweight   : num NA
  ..@ fontwidth    : num NA
  ..@ colour       : chr "#4D4D4DFF"
  ..@ size         : 'rel' num 0.8
  ..@ hjust        : NULL
  ..@ vjust        : NULL
  ..@ angle        : NULL
  ..@ lineheight   : NULL
  ..@ margin       : NULL
  ..@ debug        : NULL
  ..@ inherit.blank: logi TRUE
 $ axis.text.x                     : <ggplot2::element_text>
  ..@ family       : NULL
  ..@ face         : NULL
  ..@ italic       : chr NA
  ..@ fontweight   : num NA
  ..@ fontwidth    : num NA
  ..@ colour       : NULL
  ..@ size         : NULL
  ..@ hjust        : NULL
  ..@ vjust        : num 1
  ..@ angle        : NULL
  ..@ lineheight   : NULL
  ..@ margin       : <ggplot2::margin> num [1:4] 2.2 0 0 0
  ..@ debug        : NULL
  ..@ inherit.blank: logi TRUE
 $ axis.text.x.top                 : <ggplot2::element_text>
  ..@ family       : NULL
  ..@ face         : NULL
  ..@ italic       : chr NA
  ..@ fontweight   : num NA
  ..@ fontwidth    : num NA
  ..@ colour       : NULL
  ..@ size         : NULL
  ..@ hjust        : NULL
  ..@ vjust        : num 0
  ..@ angle        : NULL
  ..@ lineheight   : NULL
  ..@ margin       : <ggplot2::margin> num [1:4] 0 0 2.2 0
  ..@ debug        : NULL
  ..@ inherit.blank: logi TRUE
 $ axis.text.x.bottom              : NULL
 $ axis.text.y                     : <ggplot2::element_text>
  ..@ family       : NULL
  ..@ face         : NULL
  ..@ italic       : chr NA
  ..@ fontweight   : num NA
  ..@ fontwidth    : num NA
  ..@ colour       : NULL
  ..@ size         : NULL
  ..@ hjust        : num 1
  ..@ vjust        : NULL
  ..@ angle        : NULL
  ..@ lineheight   : NULL
  ..@ margin       : <ggplot2::margin> num [1:4] 0 2.2 0 0
  ..@ debug        : NULL
  ..@ inherit.blank: logi TRUE
 $ axis.text.y.left                : NULL
 $ axis.text.y.right               : <ggplot2::element_text>
  ..@ family       : NULL
  ..@ face         : NULL
  ..@ italic       : chr NA
  ..@ fontweight   : num NA
  ..@ fontwidth    : num NA
  ..@ colour       : NULL
  ..@ size         : NULL
  ..@ hjust        : num 0
  ..@ vjust        : NULL
  ..@ angle        : NULL
  ..@ lineheight   : NULL
  ..@ margin       : <ggplot2::margin> num [1:4] 0 0 0 2.2
  ..@ debug        : NULL
  ..@ inherit.blank: logi TRUE
 $ axis.text.theta                 : NULL
 $ axis.text.r                     : <ggplot2::element_text>
  ..@ family       : NULL
  ..@ face         : NULL
  ..@ italic       : chr NA
  ..@ fontweight   : num NA
  ..@ fontwidth    : num NA
  ..@ colour       : NULL
  ..@ size         : NULL
  ..@ hjust        : num 0.5
  ..@ vjust        : NULL
  ..@ angle        : NULL
  ..@ lineheight   : NULL
  ..@ margin       : <ggplot2::margin> num [1:4] 0 2.2 0 2.2
  ..@ debug        : NULL
  ..@ inherit.blank: logi TRUE
 $ axis.ticks                      : <ggplot2::element_line>
  ..@ colour       : chr "#333333FF"
  ..@ linewidth    : NULL
  ..@ linetype     : NULL
  ..@ lineend      : NULL
  ..@ linejoin     : NULL
  ..@ arrow        : logi FALSE
  ..@ arrow.fill   : chr "#333333FF"
  ..@ inherit.blank: logi TRUE
 $ axis.ticks.x                    : NULL
 $ axis.ticks.x.top                : NULL
 $ axis.ticks.x.bottom             : NULL
 $ axis.ticks.y                    : NULL
 $ axis.ticks.y.left               : NULL
 $ axis.ticks.y.right              : NULL
 $ axis.ticks.theta                : NULL
 $ axis.ticks.r                    : NULL
 $ axis.minor.ticks.x.top          : NULL
 $ axis.minor.ticks.x.bottom       : NULL
 $ axis.minor.ticks.y.left         : NULL
 $ axis.minor.ticks.y.right        : NULL
 $ axis.minor.ticks.theta          : NULL
 $ axis.minor.ticks.r              : NULL
 $ axis.ticks.length               : 'rel' num 0.5
 $ axis.ticks.length.x             : NULL
 $ axis.ticks.length.x.top         : NULL
 $ axis.ticks.length.x.bottom      : NULL
 $ axis.ticks.length.y             : NULL
 $ axis.ticks.length.y.left        : NULL
 $ axis.ticks.length.y.right       : NULL
 $ axis.ticks.length.theta         : NULL
 $ axis.ticks.length.r             : NULL
 $ axis.minor.ticks.length         : 'rel' num 0.75
 $ axis.minor.ticks.length.x       : NULL
 $ axis.minor.ticks.length.x.top   : NULL
 $ axis.minor.ticks.length.x.bottom: NULL
 $ axis.minor.ticks.length.y       : NULL
 $ axis.minor.ticks.length.y.left  : NULL
 $ axis.minor.ticks.length.y.right : NULL
 $ axis.minor.ticks.length.theta   : NULL
 $ axis.minor.ticks.length.r       : NULL
 $ axis.line                       : <ggplot2::element_blank>
 $ axis.line.x                     : NULL
 $ axis.line.x.top                 : NULL
 $ axis.line.x.bottom              : NULL
 $ axis.line.y                     : NULL
 $ axis.line.y.left                : NULL
 $ axis.line.y.right               : NULL
 $ axis.line.theta                 : NULL
 $ axis.line.r                     : NULL
 $ legend.background               : <ggplot2::element_rect>
  ..@ fill         : NULL
  ..@ colour       : logi NA
  ..@ linewidth    : NULL
  ..@ linetype     : NULL
  ..@ linejoin     : NULL
  ..@ inherit.blank: logi TRUE
 $ legend.margin                   : NULL
 $ legend.spacing                  : 'rel' num 2
 $ legend.spacing.x                : NULL
 $ legend.spacing.y                : NULL
 $ legend.key                      : NULL
 $ legend.key.size                 : 'simpleUnit' num 1.2lines
  ..- attr(*, "unit")= int 3
 $ legend.key.height               : NULL
 $ legend.key.width                : NULL
 $ legend.key.spacing              : NULL
 $ legend.key.spacing.x            : NULL
 $ legend.key.spacing.y            : NULL
 $ legend.key.justification        : NULL
 $ legend.frame                    : NULL
 $ legend.ticks                    : NULL
 $ legend.ticks.length             : 'rel' num 0.2
 $ legend.axis.line                : NULL
 $ legend.text                     : <ggplot2::element_text>
  ..@ family       : NULL
  ..@ face         : NULL
  ..@ italic       : chr NA
  ..@ fontweight   : num NA
  ..@ fontwidth    : num NA
  ..@ colour       : NULL
  ..@ size         : 'rel' num 0.8
  ..@ hjust        : NULL
  ..@ vjust        : NULL
  ..@ angle        : NULL
  ..@ lineheight   : NULL
  ..@ margin       : NULL
  ..@ debug        : NULL
  ..@ inherit.blank: logi TRUE
 $ legend.text.position            : NULL
 $ legend.title                    : <ggplot2::element_text>
  ..@ family       : NULL
  ..@ face         : NULL
  ..@ italic       : chr NA
  ..@ fontweight   : num NA
  ..@ fontwidth    : num NA
  ..@ colour       : NULL
  ..@ size         : NULL
  ..@ hjust        : num 0
  ..@ vjust        : NULL
  ..@ angle        : NULL
  ..@ lineheight   : NULL
  ..@ margin       : NULL
  ..@ debug        : NULL
  ..@ inherit.blank: logi TRUE
 $ legend.title.position           : NULL
 $ legend.position                 : chr "right"
 $ legend.position.inside          : NULL
 $ legend.direction                : NULL
 $ legend.byrow                    : NULL
 $ legend.justification            : chr "center"
 $ legend.justification.top        : NULL
 $ legend.justification.bottom     : NULL
 $ legend.justification.left       : NULL
 $ legend.justification.right      : NULL
 $ legend.justification.inside     : NULL
  [list output truncated]
 @ complete: logi TRUE
 @ validate: logi TRUE

ggplot2 Customization - Themes

From the Tidyverse Blog:

ggplot2 Customization - Themes

Best practice:

  • Pick a starting theme you like and customize
  • theme_STARTER() + theme(things.i.change="to.new.values")

ggplot2 Customization - Themes

ggplot2 has 8 built-in themes. The ggthemes and ThemePark packages has many more!

Let’s define a basic theme and see how it is rendered in different themes:

my_plot <- ggplot(penguins_ok, 
       aes(x=flipper_len, y=body_mass, color=species)) + 
       geom_point(shape=15) + stat_smooth(method="lm", se=FALSE) + 
       xlab("Flipper Length (mm)") + ylab("Body Mass (g)") + 
       ggtitle("Body Mass vs Flipper Length for 333 Penguins") + 
       facet_wrap(~species) + guides(color="none")

Reminder: ggplot2 only displays plot when printed so assign to variable if you want to keep modifying

ggplot2 Customization - Themes

Default theme (theme_grey())

my_plot + theme_grey() # Default: can omit

ggplot2 Customization - Themes

Black-and-White theme (ggplot2::theme_bw()) - MW’s favorite

my_plot + theme_bw()

ggplot2 Customization - Themes

Minimal theme (ggplot2::theme_minimal())

my_plot + theme_minimal()

ggplot2 Customization - Themes

Light theme (ggplot2::theme_light())

my_plot + theme_light()

ggplot2 Customization - Themes

Dark theme (ggplot2::theme_dark())

my_plot + theme_dark()

ggplot2 Customization - Themes

Old-school MS Excel theme (ggthemes::theme_excel())

library(ggthemes)
my_plot + theme_excel()

ggplot2 Customization - Themes

Google Docs theme (ggthemes::theme_gdocs())

library(ggthemes)
my_plot + theme_gdocs()

ggplot2 Customization - Themes

Economist theme (ggthemes::theme_economist())

library(ggthemes)
my_plot + theme_economist()

ggplot2 Customization - Themes

Wall St Journal theme (ggthemes::theme_wsj())

library(ggthemes)
my_plot + theme_wsj()

ggplot2 Customization - Themes

Edward Tufte theme (ggthemes::theme_tufte())

library(ggthemes)
my_plot + theme_tufte()

ggplot2 Customization - Themes

Barbie theme (ThemePark::theme_barbie())

library(ThemePark)
my_plot + theme_barbie()

ggplot2 Customization - Themes

Oppenheimer theme (ThemePark::theme_oppenheimer())

library(ThemePark)
my_plot + theme_oppenheimer()

ggplot2 Customization - Themes

Simpsons theme (ThemePark::theme_avatar())

library(ThemePark)
my_plot + theme_simpsons()

ggplot2 Customization - Themes

Spiderman theme (ThemePark::theme_spiderman())

library(ThemePark)
my_plot + theme_spiderman()

ggplot2 Customization - Themes

Game of Thrones theme (ThemePark::theme_gameofthrones())

library(ThemePark)
my_plot + theme_gameofthrones()

ggplot2 Customization - Themes

Avatar theme (ThemePark::theme_avatar())

library(ThemePark)
my_plot + theme_avatar()

ggplot2 Customization - Themes

Most of these are silly

Adapt and extend!

Color Palettes

Three types of color palettes:

  • Sequential: ordered from 0 to “high”
    • Example: rain forecast in different areas
  • Diverging: ordered from -X to +Y with meaningful 0 in the middle
    • Example: political leaning
  • Qualitative: no ordering
    • Example: penguin species

Two ways to make a color scale for quantitative variables:

  • Binned: \([0, 1)\) light green, \([1, 3)\) medium green; \([3, 5]\) dark green
  • Continuous

Color Palettes

I often rely on the work of Cynthia Brewer

https://colorbrewer2.org

  • Officially for cartography, but generally useful
  • Different (punny) ggplot2 names for different derived scales

Color Palettes

scale_color_brewer() for discrete scales

library(ggplot2)
ggplot(penguins_ok, aes(x=bill_len, y=bill_dep, color=species)) + 
    geom_point() + theme_bw() + 
    scale_color_brewer(type="qual") # Qualitative

Color Palettes

scale_color_distiller() for continuous scales

library(ggplot2)
ggplot(penguins_ok, aes(x=bill_len, y=bill_dep, color=body_mass)) + 
    geom_point() + theme_bw() + 
    scale_color_distiller(type="seq") # Continuous

Color Palettes

scale_color_fermenter() for binned scales

library(ggplot2)
ggplot(penguins_ok, aes(x=bill_len, y=bill_dep, color=body_mass)) + 
    geom_point() + theme_bw() + 
    scale_color_fermenter(type="seq") # Binned

Color Palettes

library(ggplot2)
ggplot(penguins_ok, aes(x=bill_len, y=bill_dep, color=body_mass)) + 
    geom_point() + theme_bw() + 
    scale_color_fermenter(type="seq") # Binned + Sequential

Color Palettes

library(ggplot2)
ggplot(penguins_ok, aes(x=bill_len, y=bill_dep, color=body_mass)) + 
    geom_point() + theme_bw() +
    scale_color_fermenter(type="qual") # Binned + Qualitative
Warning: Using a discrete colour palette in a binned scale
ℹ Consider using `type = "seq"` or `type = "div"` instead

Color Palettes

library(ggplot2)
ggplot(penguins_ok, aes(x=bill_len, y=bill_dep, color=body_mass)) + 
    geom_point() + theme_bw() + 
    scale_color_fermenter(type="div") # Binned + Diverging

“Hard-coding” Colors

scale_color_identity will take color names from a column:

penguins_ok |>
    mutate(color_column = if_else(species == "Adelie", "blue", "red")) |>
    ggplot(aes(x=bill_len, y=bill_dep, color=color_column)) + 
    geom_point() + theme_bw() + 
    scale_color_identity(name="Species")

Practice Exercise

Return to the cdiac data from the Warm-Up

  • Visualize trends in time series
  • geom_line to create line plots

Return to breakout rooms for Practice Activity #02

Simpson’s Paradox

Data Visualization can be used to find counterintuitive trends in data:

ggplot(simpsons_paradox, aes(x=x, y=y)) + 
    geom_point() + stat_smooth(method="lm")

Simpson’s Paradox

Overall trend does not need to match trend within groups

ggplot(simpsons_paradox, aes(x=x, y=y, color=group)) + 
    geom_point() + stat_smooth(method="lm") + facet_grid(~group)

Modeling: ANCOVA or Mixed-Effects Regression

UCB Graduate Admissions

1973: UC Berkeley was concerned about bias in Grad School Admissions

  • Higher fraction of men admitted than women
  • Bickel, Hammell, O’Connell asked to study
    • When they try to find the source of this bias, there is none!
    • Each department admits women at a higher rate than men
    • Women applied to more selective programs at a higher rate

This phenomenon occurs throughout the social sciences: the best doctors have the worst patient outcomes

BHO note:

Women are shunted by their socialization and education toward fields of graduate study that are generally more crowded, less productive of completed degrees, and less well funded, and that frequently offer poorer professional employment prospects.

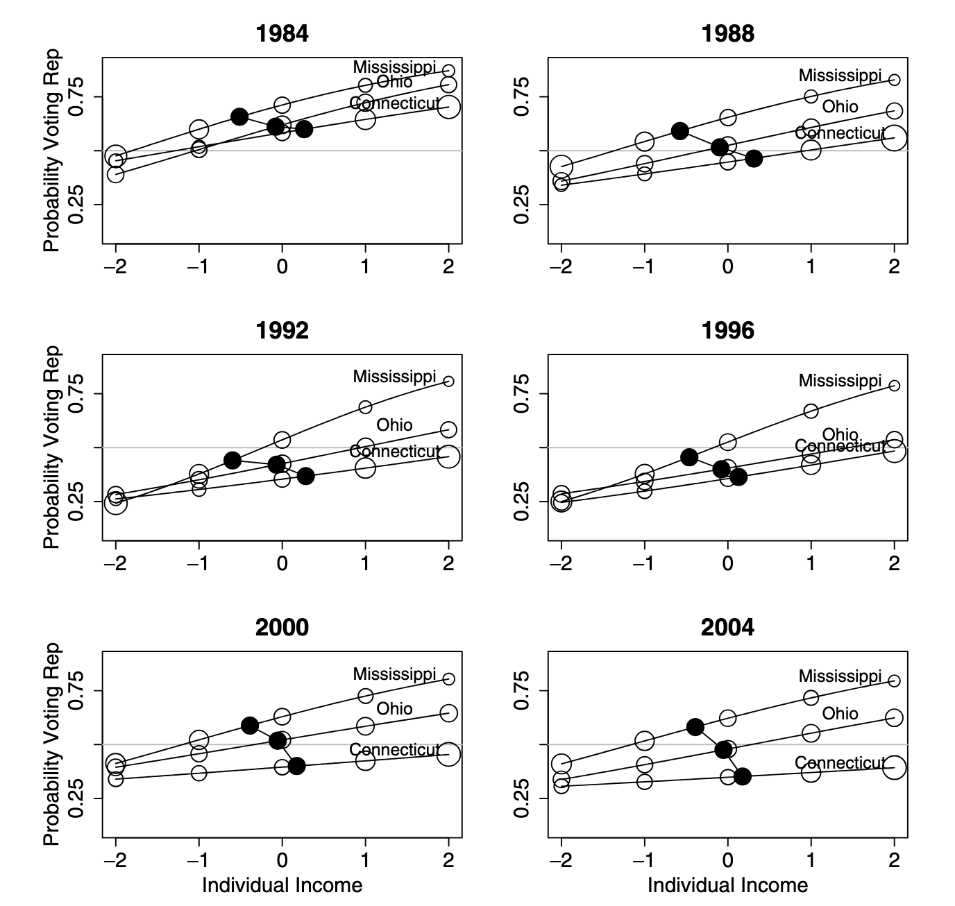
Red State Blue State

Red State Blue State

Facts about US politics (c. 2008):

  1. Rich people vote Republican at higher rates
  2. Rich states vote Republican at lower rates
  3. Rich states are rich because they have richer people

How can we reconcile this?

Red State Blue State

Figure from Gelman et al, Q.J.Poli.Sci. 2007.

For more, see this presentation.

Additional Resources

Textbook: R for Data Science, Part II: Visualize

General advice on data science projects:

Pre-Assignment #07 FAQs

ggplot2 vs Tableau

  • Tableau
    • $$$
    • IT department automatically integrates with data sources
    • Easy, if it does what you want
  • ggplot2
    • Free
    • Can use arbitrary data sources, with effort
    • Flexible / customizable

ggplot2 vs matplotlib

  • ggplot2
    • Data visualizations
    • Enforces “good practice” via gg
  • matplotlib
    • Scientific visualizations
    • More flexible for good or for ill
    • Inspired by Matlab plotting

Closest Python analogue to ggplot2 is seaborn

Why use + instead of |>

  • ggplot2 is older than |>
  • Per H. Wickham: if ggplot3 ever gets made, will use |>
  • Unlikely to change: too much code depends on it

Performance

I tried an interactive plot with \(n=132,000\) points, but it brought my computer to a halt. [Ed. Paraphrased]

That’s a lot of plots!!

ggplot2 is itself pretty fast, but it depends on (possibly slow) graphics backends

  • Different file types implement graphics differently.
  • You should also think about overplotting / pre-processing

We’ll talk more about interactivity next week

Overplotting

Large data sets can lead to overplotting:

  • Points “on top of” each other
  • Can also occur with “designed” experiments / rounded data

Ways to address:

  • geom_jitter
  • geom_hex

Overplotting

Jitter: add a bit of random noise so points don’t step on each other

library(ggplot2); library(patchwork)
p <- ggplot(mpg, aes(cyl, hwy))
p1 <- p + geom_point() + ggtitle("geom_point")
p2 <- p + geom_jitter() + ggtitle("geom_jitter")
p1 + p2 # Patchwork lets us "add" plots

Hexagonal Binning

Little “heatmaps” of counts. Hexagons to avoid weird rounding artifacts

library(ggplot2); library(patchwork)
p <- ggplot(diamonds, aes(carat, price))
p1 <- p + geom_point() + ggtitle("geom_point")
p2 <- p + geom_hex() + ggtitle("geom_hex")
p1 + p2 # Patchwork lets us 'add' plots

Inside vs. Outside aes()

aes maps data to values. Outside of aes, set constant value

library(ggplot2)
ggplot(penguins_ok, 
       aes(x=bill_len, y=bill_dep, color=species)) +
    geom_point()

Inside vs. Outside aes()

aes maps data to values. Outside of aes, set constant value

library(ggplot2)
ggplot(penguins_ok, 
       aes(x=bill_len, y=bill_dep))+ geom_point(color="blue")

Global vs geom_ specific aes()

  • Elements set in ggplot() apply to entire plot
  • Elements set in specific geom apply there only
    • Override globals
library(ggplot2)
ggplot(penguins_ok, 
       aes(x=bill_len, y=bill_dep, color=species))+
    stat_smooth() + geom_point()

Global vs geom_ specific aes()

  • Elements set in ggplot() apply to entire plot
  • Elements set in specific geom apply there only
    • Override globals
library(ggplot2)
ggplot(penguins_ok, 
       aes(x=bill_len, y=bill_dep)) +
    stat_smooth() + geom_point(aes(color=species))

How to Select geoms

Two “modes”

  • Exploratory data analysis: Quick, rapid iteration, for your eyes only
    • Let the data tell you a story
    • Low pre-processing: scatter plots, lines, histograms
  • “Publication quality”: Polished, for someone else
    • You tell the reader a story
    • More processing, more modeling: trends, line segments, ribbons

Order of Layers

Order of layers technically matters, but the effect is small

p1 <- ggplot(penguins_ok, aes(x=bill_len, y=flipper_len)) +
        geom_point(color="black") + 
        stat_smooth(color="blue", method="lm") + ggtitle("Line on points")
p2 <- ggplot(penguins_ok, aes(x=bill_len, y=flipper_len)) +
        stat_smooth(color="blue", method="lm") + 
        geom_point(color="black") + ggtitle("Points on line")
p1 + p2

Order of Layers

Order matters more with theme. Adding a theme_*() will override any theme() customization you did:

p1 <- p1 + theme_bw() + theme(legend.position="bottom")
p2 <- p2 + theme(legend.position="bottom") + theme_bw() 
p1 + p2

stat_poly_line vs stat_smooth

By default stat_smooth fits a generalized additive model (GAM)

ggpmisc::stat_poly_line and stat_poly_eq fit linear models, so they can expose more machinery.

What is a GAM?

  • Take 9890 with me (typically Spring semester) to find out!
  • Free Course: “GAMs in R” from Noam Ross

Titles and Captions

ggplot() + 
    labs(title="Title", subtitle="Subtitle", caption="Caption",
         tag="Tag", alt="Alt-Text", alt_insight="Alt-Insight")

+ggtitle("text") is just shorthand for +labs(title="text")

Importance of Aesthetics

Perceptually:

  • Location > Color > Size > Shape

Humans are better at:

  • Length > Area > Volume

FAQ: When to Use Facets?

Facets are group_by for plots. Useful for

  • Distinguishing intra- vs inter-group trends
  • Avoiding overplotting

Twin Axes Plots

How can I implement a dual (twin) axis plot in ggplot2?

Disfavored. But if you must …

sec.axis

Doesn’t allow arbitrary secondary axes; allows transformed axes (e.g., Celsius and Fahrenheit)

Embedding Images

See the ggimage or ggflags package for images as “points”:

if(!require("ggflags", quiet=TRUE)){
    devtools::install_github("jimjam-slam/ggflags"); 
}
library(ggflags)
d <- data.frame(x=rnorm(50), y=rnorm(50), 
                country=sample(c("ar","fr", "nz", "gb", "es", "ca"), 50, TRUE), 
                stringsAsFactors = FALSE)
ggplot(d, aes(x=x, y=y, country=country, size=x)) + 
  geom_flag() + scale_country()

Embedding Images

See cowplot::draw_image() for image background:

library(cowplot)
p <- ggplot(iris, aes(x = Sepal.Length, fill = Species)) +
  geom_density(alpha = 0.7) +
  scale_y_continuous(expand = expansion(mult = c(0, 0.05))) +
  theme_half_open(12)

logo_file <- system.file("extdata", "logo.png", package = "cowplot")
ggdraw() +
  draw_image(
    logo_file, scale = .7
  ) +
  draw_plot(p)

Wrap-Up

Review

ggplot2:

  • Structured graphics for statistical visualization
  • Grammar of Graphics for structured plotting
    • geom, stat, scale, aes, etc.
  • Integrates with dplyr, tidyr to get into suitable format

Upcoming Work

Upcoming work from course calendar

Life Tip of the Week

Tips for Technical Interviews

Some tips for technical interviews:

  1. Communicate!

  2. Test!

  3. Anticipate the Danger Zone!

Communicate!

Talk / comment throughout a technical interview

  • Live interview: vocalize thought process
  • Async interview: comment all your choices

Advantages of Communication:

  • Allow your interviewer to give “partial credit”
  • Most questions aren’t fully-precise, seek clarification
  • Share your thought process

Test!

Check your work as you go

  • Mistakes that only appear ‘at scale’ are rare
  • Test on small data, first terms of sequence, etc.

Easier to check simple output than code

Test!

Suppose you are asked to compute 100th number of a sequence

  • Don’t code and submit
  • Look at first 5 elements and check by hand

Suppose you are asked to analyze a data set

  • Try your code on a small data set first
  • Design your data to make correct answer evident

Danger Zone!

Know the ‘sharp edges’ of the tools you will be tested on:

  • NULL handling in SQL
  • Missing values in R
  • Groups of 0 or 1 observation

etc.

Technical Interviews

Your interviewer doesn’t ultimately care if you get the right answer on a puzzle

Do you have a process to get the right answer on a problem that matters?

  • Do you handle edge cases?
  • Do you resolve ambiguities in problem statement?
  • Do you test well or just “code and pray”?

Musical Treat